Предмет: Физика,
автор: veronchiik
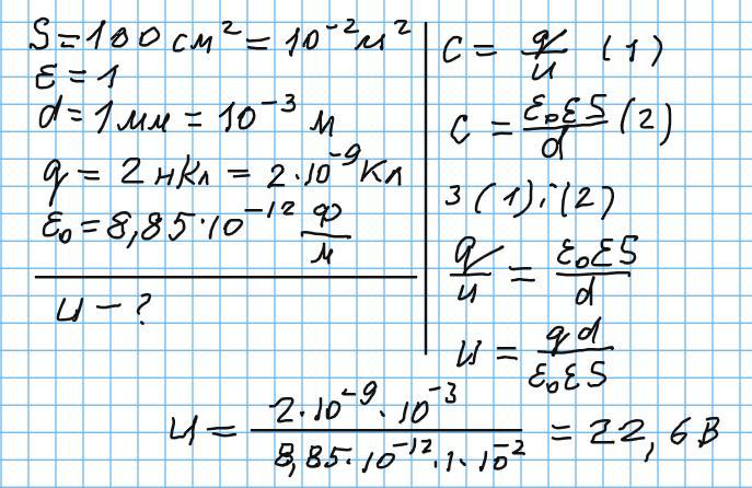
Плоскому повітряному конденсатору, площа перекриття пластин якого 100 см відстань між пластинами - 1 мм, надали заряд 2 нКл. Визначте напругу на обкладках конденсатора.
Ответы
Автор ответа:
1
Відповідь: 22,6 В
Пояснення:
Приложения:
veronchiik:
Дякую), можете, будь ласка, допомогти вирішити ще одне завдання в профілі
Похожие вопросы
Предмет: Русский язык,
автор: katyakleshneva
Предмет: Русский язык,
автор: Adilya1103
Предмет: Английский язык,
автор: marinavoronina2
Предмет: История,
автор: MariKet19
Предмет: Алгебра,
автор: aelesicheva11oya4su