Предмет: Математика,
автор: vladweras57
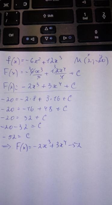
f(x)=12x^3, M(2;60) Найти первообразную в точке M
Ответы
Автор ответа:
1
Відповідь:все вирішуємо по формулах (фото внизу)
Покрокове пояснення:
Приложения:
Похожие вопросы
Предмет: Черчение,
автор: XyJligaN52
Предмет: Русский язык,
автор: AweFoo665
Предмет: Қазақ тiлi,
автор: ЕгОрК5
Предмет: Алгебра,
автор: sofia070375
Предмет: Химия,
автор: liiightnub