Предмет: Геометрия,
автор: anamamunenko7
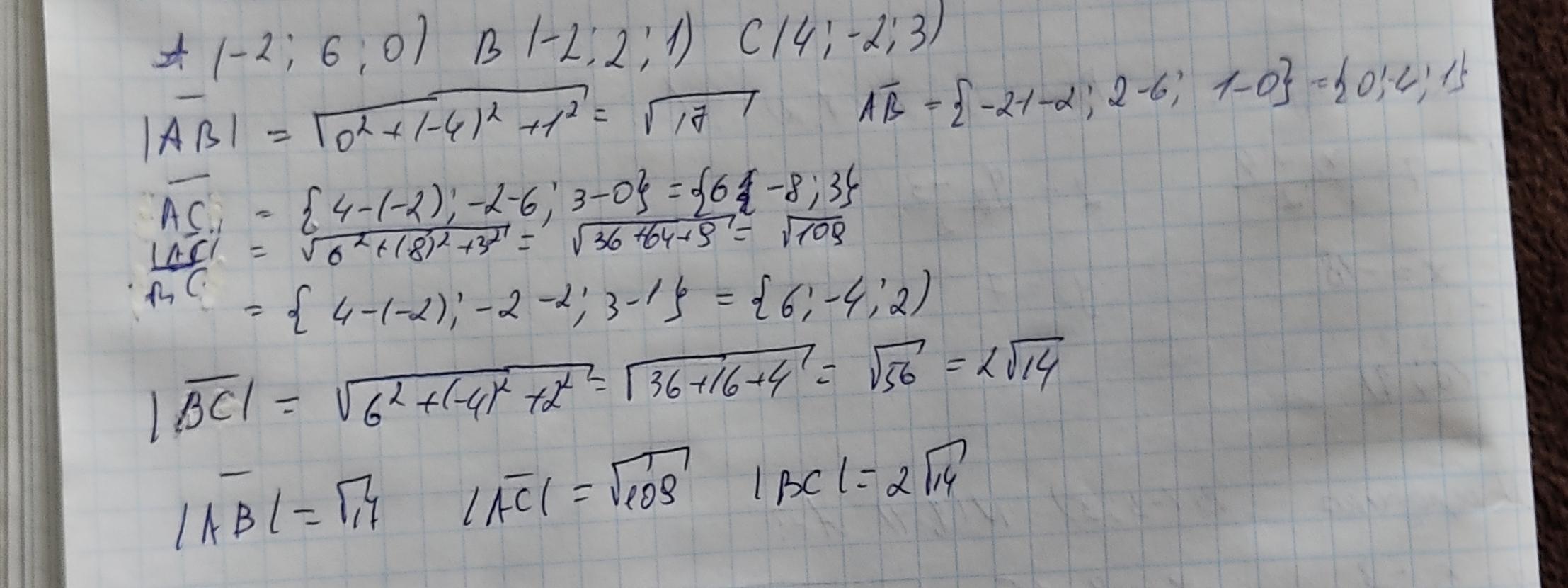
У трекутнику ABC A(-2:6:0) B(-2:2:1) C(4:-2:3) знайти довжину
Ответы
Автор ответа:
0
Ответ:
Объяснение:
фото
Приложения:
Похожие вопросы
Предмет: Французский язык,
автор: yana9852474940
Предмет: Другие предметы,
автор: KatyaVa2006
Предмет: Английский язык,
автор: AminaKim11
Предмет: Английский язык,
автор: Rrika