Предмет: Алгебра,
автор: Qwertyyet
Решите неравенство, СРОЧНО!!!
Приложения:
Ответы
Автор ответа:
1
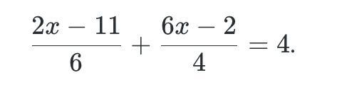
Ответ:
х=38/11
Объяснение:
.......................
Приложения:
Похожие вопросы
Предмет: Русский язык,
автор: 4308382
Предмет: Русский язык,
автор: StefanEasyKatka
Предмет: Қазақ тiлi,
автор: Аноним
Предмет: Литература,
автор: pilotsar67
Предмет: Алгебра,
автор: mashadomskaia