Предмет: Математика,
автор: tori78678
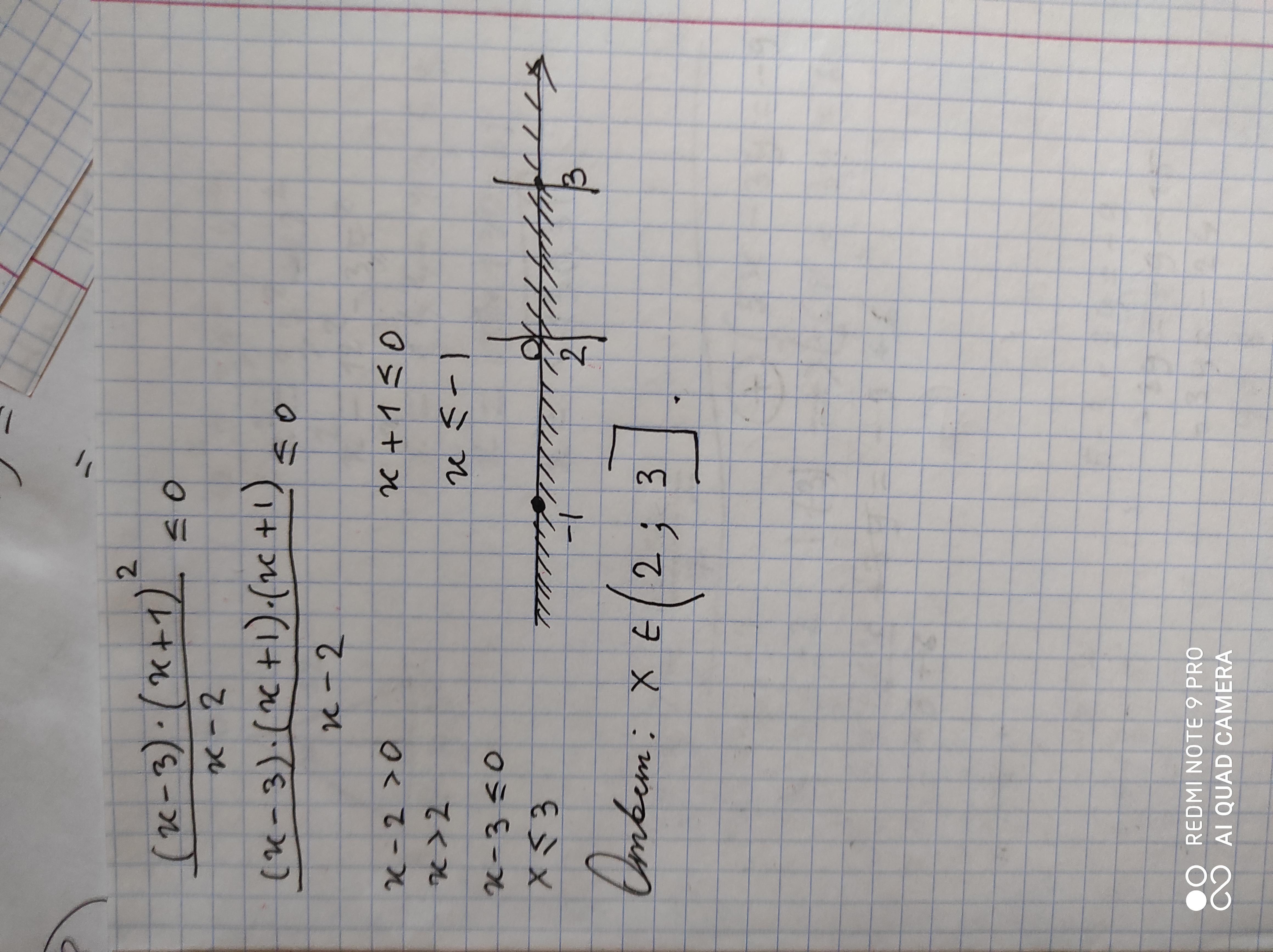
Решите неравенство: (x-3)(x + 1)²/ х-2 - ≤0
помогите пожалуйста срочно
Приложения:
Ответы
Автор ответа:
1
Ответ:
.........
Пошаговое объяснение:
Приложения:
tori78678:
спасибо большое
Автор ответа:
0
Ответ:
[[x≥−1.88,x≤−0.476],[x>0,x≤3.35]]
Пошаговое объяснение:
Похожие вопросы
Предмет: Английский язык,
автор: корзинамалины
Предмет: Русский язык,
автор: agaevsaleh
Предмет: Русский язык,
автор: тетрадь28
Предмет: Математика,
автор: sizovkirill07