Предмет: Алгебра,
автор: Sofiynuk
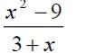
Якщо x=0,5
Допоможіть, будь ласка!!!
Приложения:
Ответы
Автор ответа:
0
Ответ: / знак дроби, ^ знак степени
Объяснение:
0,5^2-9 / 3+0.5
сократим 9 и 3= 3 в числители (9/3=3)
0,5^2=0,25
0,25-3 / 0,5
Сократим 0,25 и 0,5=0,25/0,5=0,5 Получаем
0,5-3=-2,5
Похожие вопросы
Предмет: Русский язык,
автор: Тимати789
Предмет: Другие предметы,
автор: Vilettae4
Предмет: Українська мова,
автор: Anna200722
Предмет: Қазақ тiлi,
автор: dianadin0710