Предмет: Алгебра,
автор: ilgammohammad
20 БАЛЛОВ!!!
Решите уравнения
Приложения:
Ответы
Автор ответа:
1
Ответ:
Объяснение:
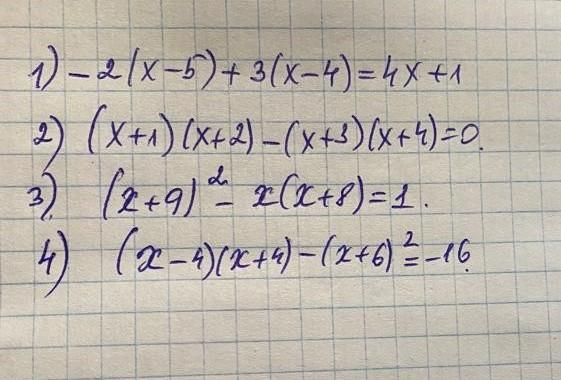
1) - 2( x - 5 ) + 3( x - 4 ) = 4x + 1 ;
- 2x + 10 + 3x - 12 = 4x + 1 ;
- 2x + 3x - 4x = 1 + 12 - 10 ;
- 3x = 3 ;
x = 3 : (- 3 ) ;
x = - 1 .
3) ( x + 9 )² - x ( x + 8 ) = 1 ;
x² + 18x + 81 - x² - 8x = 1 ;
18x - 8x = 1 - 81 ;
10x = - 80 ;
x = - 80 : 10 ;
x = - 8 .
Два інші приклади рішаються аналогічно .
Похожие вопросы
Предмет: Английский язык,
автор: ВладиславШупта
Предмет: Русский язык,
автор: ё1234567890ё12345
Предмет: Русский язык,
автор: cat412
Предмет: Математика,
автор: pisk86
Предмет: Математика,
автор: OlgaFrolova1977