Предмет: Алгебра,
автор: olgadmutryk2105
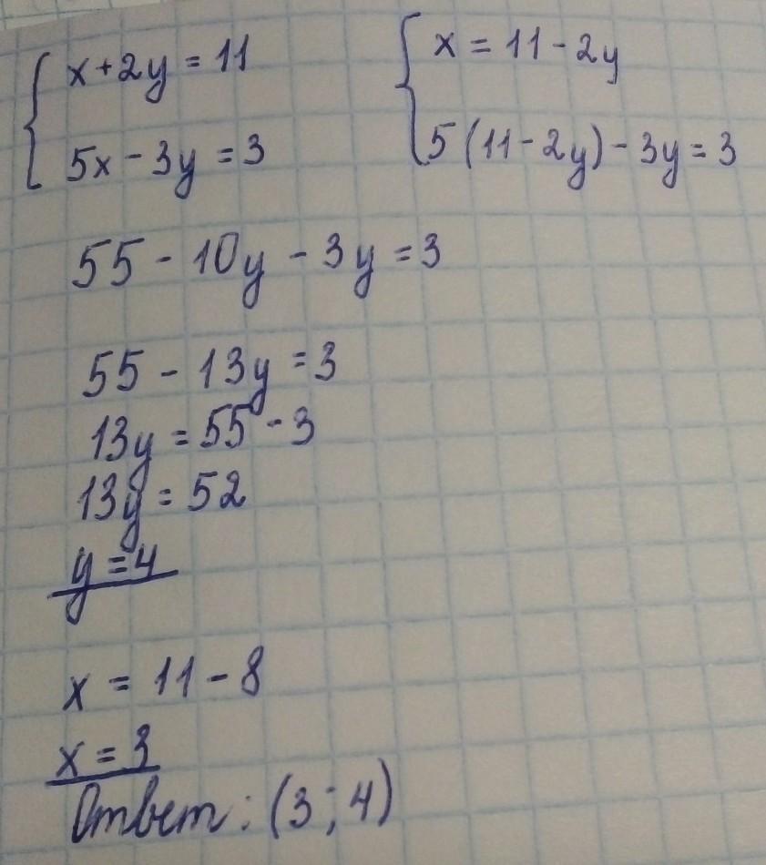
СРОЧНО ЛЮДИИИ Розв'яжіть систему рiвнянь методом підстановки: x+2y=11, 5x-3y=3.
Ответы
Автор ответа:
3
Ответ на фотооооооооооо
Приложения:
Похожие вопросы
Предмет: Русский язык,
автор: cati86
Предмет: Русский язык,
автор: marinaadel
Предмет: Русский язык,
автор: эля438
Предмет: Другие предметы,
автор: gorvelplays1970
Предмет: История,
автор: lizka8178