Предмет: Математика,
автор: mikhalychB
срочно!!!!!!!!!!!!!!!!!!!!!!!!!!!!!!!!!!!!!!!!!!!!!!!!
Приложения:
Ответы
Автор ответа:
0
Ответ:
-4/5 или -0,8
Пошаговое объяснение:
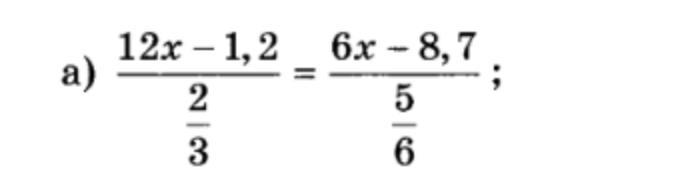
(12х - 1,2)/2/3 = (6х - 8,7)/5/6
5/6(12х - 1,2) = 2/3(6х - 8,7)
5/6(12х - 12/10) = 2/3(6х - 87/10)
60/6х - 60/60 = 12/3х - 174/30
10х - 1 = 4х - 5. 24/30
10х - 4х = -5. 4/5 + 1
6х = -4. 4/5
6х = -24/5
х = -24/5 : 6
х = -24/5 * 1/6
х = -24/30
х = -4/5 или -0,8
Похожие вопросы
Предмет: Английский язык,
автор: igor1214
Предмет: Українська мова,
автор: anastasiaSRD
Предмет: Русский язык,
автор: саха21
Предмет: География,
автор: elizkapitalek894
Предмет: Алгебра,
автор: azariembaazariemba