Предмет: Физика, автор: terminatorvaskin1000

ДАЮ 100БАЛОВ РЕШИТЕ ПОЖАЛУЙСТА С ФОТОГРАФИЕЙ РЕШЕНИЯ


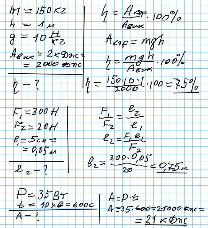
За допомогою важеля підняли вантаж масою 150 кг на 1 м. При цьому сила, яка прикладена до довгого кінця важеля, здійснила роботу 2 кДж. Який ККД важеля? У відповідь записати числове значення без одиниць вимірювання
-----------
На менше плече важеля діє сила 300 Н, на більше - 20 Н. Довжина меншого плеча 5 см. Визначити довжину більшого плеча. Відповідь подати у м, без одиниць вимірювання
------------
Яку роботу виконує двигун кімнатного вентилятора потужністю 35 Вт за 10 хв.

Відповідь надати в кДж, числове значення записати без одиниць вимірювання
---------
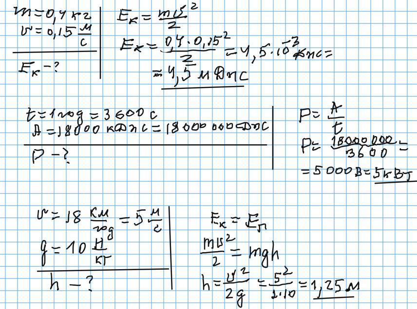
По горизонтальному столу котиться кулька масою 0,4 кг з постійною швидкістю 0,15 м/с. Чому дорівнює кінетична енергія? У відповідь записати числове значення без одиниць вимірювання. (у мДж)
-----------
Визначити потужність двигуна, який за 1 год виконує роботу 18000 кДж. Відповідь подати у кВт, не вказуючи одиниці вимірювання
----------
Тіло кинуто вертикально вгору зі швидкістю 18 км/год. Визначте, на яку максимальну висоту підніметься тіло.

У відповідь записати числове значення без одиниц вимірювання​


zybkov1950: А ще більше завдань на один раз не змогли запропонувати? Були випадки, коли модератор видаляв все даний матеріал
Ось офіційна відповідь сайту:"Сожалеем, задания, содержащие больше 3 вопросов, нужно разделить на несколько. У вас
будет больше шансов получить ответ!"
terminatorvaskin1000: выполни только 3
terminatorvaskin1000: Я сделаю ещё один

Ответы

Автор ответа: zybkov1950
2

Відповідь: Див. додаток

Пояснення:

Приложения:

artem1666: Можете і мені допомогти з фізикою )? дякую
artem1666: буду рад если поможете ))))
Похожие вопросы