Предмет: Алгебра,
автор: makapoh641234
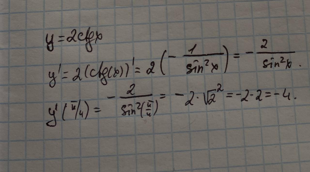
Знайти похідну функції y=2 ctgx в точці х=п/4
Ответы
Автор ответа:
0
дивіться фото..................
Приложения:
Похожие вопросы
Предмет: Другие предметы,
автор: laura8007
Предмет: Русский язык,
автор: brizgalova1983
Предмет: Русский язык,
автор: Аноним
Предмет: Алгебра,
автор: dianka620
Предмет: Химия,
автор: sofiyarovnaya72