Предмет: Физика,
автор: gleb5671
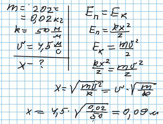
На скільки стиснули пружину іграшкового пістолету, якщо розпрямляючись, пружина надає кулі масою 20 г швидкість 4,5 м/с. Жорсткість пружини 50 Н/м?
Ответы
Автор ответа:
2
Відповідь: 9 см
Пояснення:
Приложения:
Похожие вопросы
Предмет: Другие предметы,
автор: dbrunchenko
Предмет: Окружающий мир,
автор: Jcjgx6
Предмет: Қазақ тiлi,
автор: SAbiNKA05112004
Предмет: Алгебра,
автор: llllolplopopolpo
Предмет: Английский язык,
автор: lalenko1013