Предмет: Алгебра,
автор: karinakomarovska90
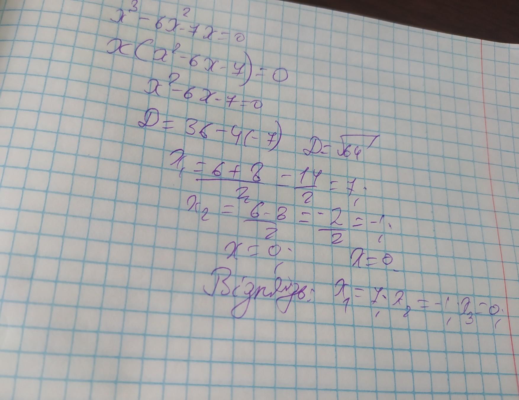
розвяжіть рівняння х3-6х^-7х=0 розклав його ліву частину на множники СРОЧНОООО!!!
Ответы
Автор ответа:
1
ответ на фото.......... Буду очень рад если будет лучший ответ
Приложения:
Похожие вопросы
Предмет: Русский язык,
автор: 0505511
Предмет: Қазақ тiлi,
автор: uislamgalieva
Предмет: Русский язык,
автор: ник3963
Предмет: Алгебра,
автор: Аноним
Предмет: Химия,
автор: tim20004