Предмет: Алгебра,
автор: yaremchuknazar55
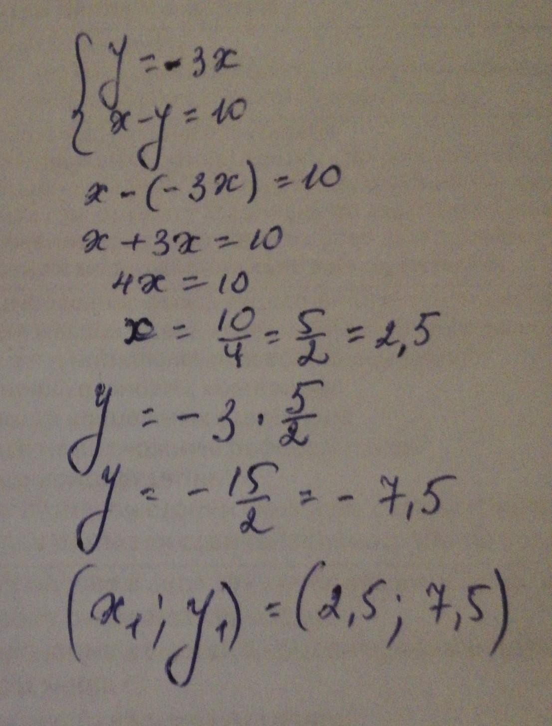
Будь ласка допоможіть Розв'яжи систему рівнянь методом підстановки: {y=−3x,x−y=10
Ответы
Автор ответа:
1
Ответ:
Смотри решение на фото..
Приложения:
Похожие вопросы
Предмет: Русский язык,
автор: сабина296
Предмет: Қазақ тiлi,
автор: katyaselyutina
Предмет: Другие предметы,
автор: дахабезстраха
Предмет: Биология,
автор: vladosik13337
Предмет: Українська література,
автор: misterkatsv