Предмет: Математика, автор: mishganover

Запишите формулу нахождения производной показательной функции.
32. 29. Запишите знаки тангенса угла по четвертям (на чертеже).
33. 30. Запишите формулу нахождения площади полной поверхности конуса.
34. 31.Запишите формулу | sinxdx.
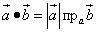
35. 32. Запишите формулы нахождения скалярного произведения векторов
36. (2 формулы).
37. 33. Запишите формулу производная суммы.
38. 34. Начертите прямоугольный параллелепипед; запишите, что является
39. основанием данного многогранника.
40. 35. Запишите знаки косинуса угла по четвертям (на чертеже).
41. 36.Запишите формулу нахождения вероятности события.
42. 37. Запишите определение логарифма числа.
43. 38.Начертите прямой круговой цилиндр.
44. 39. Запишите формулу нахождения длины вектора.
45. 40. Какая пирамида называется правильной.

Ответы

Автор ответа: rublevka58
1

Ответ:

Пошаговое объяснение:

32. 29. фотка

33. 30.Sb = pi*g2*2*pi*r/g/(2*pi) = pi*r*g

34. 31 Интегрировать по частям.

u=х,   dv=sinxdx

du=dx    v=интеграл sinxdx=-cosx

интеграл от x*sinx*dx=uv- интеграл vdu =-xcosx-интеграл (-cosx)dx= -xcosx+интеграл cosxdx=-xcosx+sin x

35. 32 v34.gif /v33.gif (фотки) - 36. (2 формулы).

37. 33.Производная суммы равна сумме производных: (f(x) + g(x))' = f '(x) + g'(x).

38. 34.  фотка

39. прямоугольник

40. 35.  фотка общая там де 4 кос/син/тангенс и котангенс

41. 36 -

42. 37 Определение. Логарифмом числа b по основанию a называют такую степень, в которую надо возвести число a, чтобы получить число b. a x= b .

43. 38. цилиндр

44. 39Чтобы найти длину вектора, будем использовать формулу нахождения длины вектора по координатам −−−−→ open a | = √ a x 2 + a y 2 a→=ax2+ay2:  −−−−→ open a | = √ 7 2 + ( √ e ) 2 = √ 49 + e a→=72+e2=49+e Ответ:  −−−−→ open a | = √ 49 + e a→=49+e.

45. 40. 1) Пирамида называется правильной, если в основании лежит правильный многоугольник, а отрезок, соединяющий вершину пирамиды с центром основания, является ее высотой. 2) Площадь поверхности правильной пирамиды – это сумма площадей боковых граней.

Приложения:
Похожие вопросы
Предмет: Геометрия, автор: Кристофер05