Предмет: Алгебра,
автор: tvinvok8
Ответ строго на листке! Сделаю лучшим!
Приложения:
Ответы
Автор ответа:
0
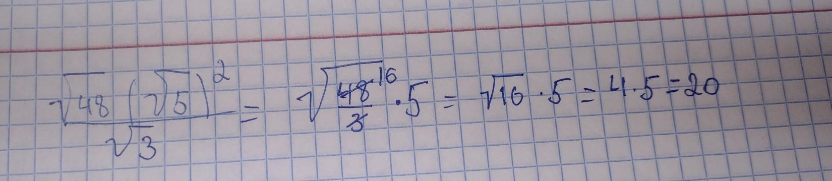
ответ в фотографии ответ 20
Приложения:
Автор ответа:
0
Ответ на данный вопрос прикрепил файлом
Приложения:
Похожие вопросы
Предмет: Русский язык,
автор: hffhbt
Предмет: Русский язык,
автор: lenkin19
Предмет: Русский язык,
автор: коля636
Предмет: Геометрия,
автор: lepievrizvan777
Предмет: Математика,
автор: annamarqaryan