Предмет: Математика,
автор: krasnukhinaanastasiy
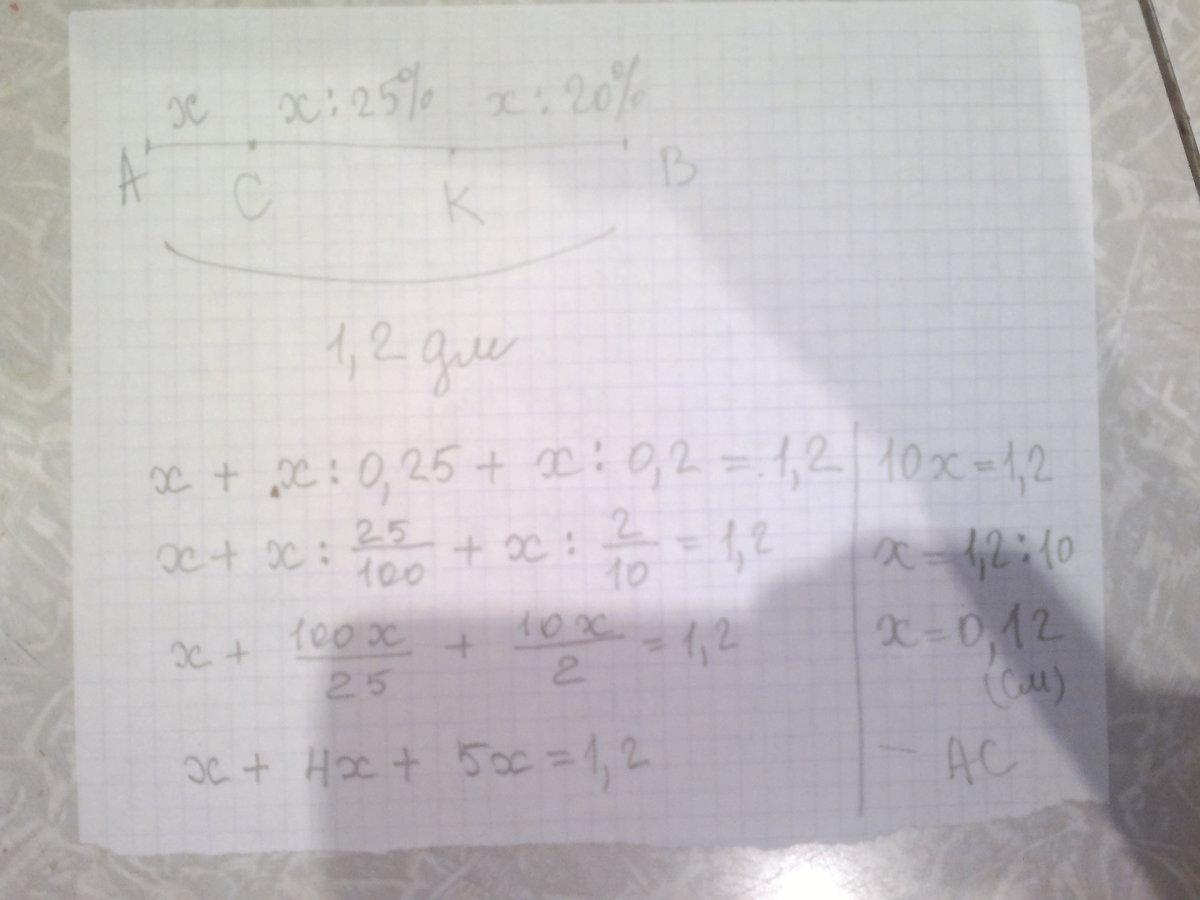
На отрезке АВ, равном 1,2 дм, отметили точки С и К. Оказалось, что длина отрезка СК и 20% от длина отрезка ВК. Найдите длину каждого отрезка и процентное отношение длин отрезка 1). АС и АВ 2) АС и ВС
iramazurk:
непонятное условие.
Ответы
Автор ответа:
0
Ответ:
Пошаговое объяснение:
Приложения:
Похожие вопросы
Предмет: Русский язык,
автор: flex227
Предмет: Беларуская мова,
автор: elenaianton
Предмет: Окружающий мир,
автор: rashid7
Предмет: Математика,
автор: alenanka2009
Предмет: Русский язык,
автор: jjmjhlhhmailru