Предмет: Алгебра,
автор: Аноним
Главный мозг умоляю помогите пожалуйста
Приложения:
fawafwfaf:
я светило науки, поетому не помогу(
да ничего страшного
я просто так написала
если знаешь алгебру,то можешь
Photomath придумали в 2014. Люди до:
там не всё правильно
у меня есть фотомач
А, извини, несомненно ты умнее всех тех людей, что создавали photomath
это сарказм?
:))
Ответы
Автор ответа:
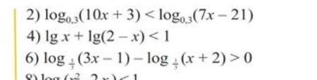
1
2. ОДЗ 10х+3>0⇒x>-0.3
7x-21>0⇒x>3
окончательно ОДЗ x>3
т.к. основание 0<0.3<1, то 10х+3>7х-21
3х>-24⇒х>-8
с учетом ОДЗ ответ : х∈(3;+∞)
4. ОДЗ х>0; 2-х>0⇒x<2
и ОДЗ (0;2)
т.к. основание 10>1, используя свойства логарифмов, получим:
х*(2-х)<10
х²-2х+10>0
решением этого неравенства есть любое число. т.к. а=1>0
D=b²-4ac=4-40=-36<0
с учетом ОДЗ ответ (0;2)
6. ОДЗ 3х-1>0⇒x>1/3
x+2>0⇒x>-2
ОДЗ:x>1/3
перенесем вправо -㏒₁/₃(х+2)
㏒₁/₃(3x-1)>㏒₁/₃(х+2)
т.к. основание 0<1/3<1, то 3х-1<x+2
2x<3⇒x<1.5
с учетом ОДЗ ответ (1/3; 1.5)
Похожие вопросы
Предмет: Английский язык,
автор: кин123
Предмет: Русский язык,
автор: sergjasharonova
Предмет: Окружающий мир,
автор: osepianedmond
Предмет: Математика,
автор: chyjezemka999pfb2sw
Предмет: Химия,
автор: makcicteterin