Предмет: Математика,
автор: tcherkindmitrij
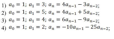
Нужно решить рекуррентные соотношения:
Приложения:
Ответы
Автор ответа:
1
Ответ:
Пошаговое объяснение:
1) a₂ = 4 *a₁ - 3a₀= = 4 * 3 - 3 * 1 = 9
a3 = 4a₂ - 3a₁ = 4 * 9 - 3 * (5) = 21
a₄ = 4a₃ - 3a2 = 4 *21 - 3 * 9 = 57
Аналогично вычисляются остальные члены последовательности.
2) а₂ = 4а₁ + 5а₀ = 4 * 5 + 5 * 1 = 25
а₃ = 4а₂ + 5а₁ = 4 * 25 + 5 * 5 = 125
Аналогично дальше.
3) а₂ = 4а₁ - 9 а₀ = 4 * 4 - 9 * 1 = 7
а₃ = 4а₂ - 9а₁ = 4 * 7 - 9 * 4 = -8
4) а₂ = -10а₁ - 25 а₀ = -10 * 2 - 25 * 1 = -45
а₃ = -10а2 - 25а₁ = -10 * (-45) - 25 * 2 = 400
tcherkindmitrij:
Спасибо вам!!!
Похожие вопросы
Предмет: Русский язык,
автор: ПринцессаАня
Предмет: Қазақ тiлi,
автор: хахквапа
Предмет: Русский язык,
автор: Solmazik2005
Предмет: Математика,
автор: Аноним
Предмет: Математика,
автор: shl76apik