Предмет: Алгебра,
автор: aliyaaliyaaliya67
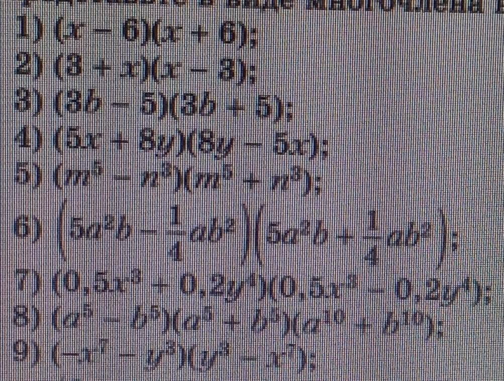
алгебра 7 класс 9 премеров
Приложения:
Ответы
Автор ответа:
0
Ответ:
решение внизу
Объяснение:
Приложения:
Похожие вопросы
Предмет: Русский язык,
автор: КомсомолецЮрий
Предмет: Русский язык,
автор: МарияСургут
Предмет: Русский язык,
автор: gera710471
Предмет: Қазақ тiлi,
автор: saffina79