Предмет: Математика, автор: sslepchenkooo2009

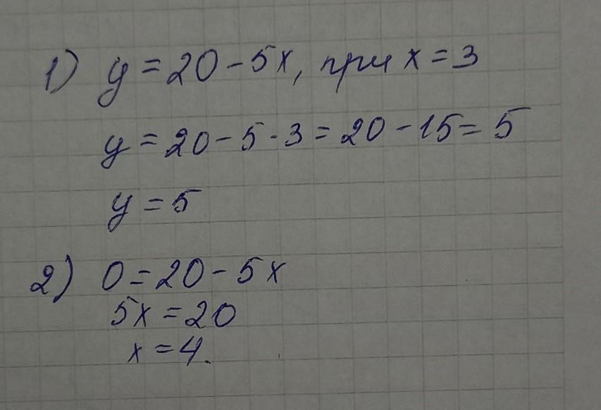
обчислити значення у за формулою у=20-5х, якщо х=3. При яких значеннях х буде у=0

Ответы

Автор ответа: yeyo
1

во вложенном фото.......

Приложения:
Похожие вопросы
Предмет: Русский язык, автор: KatyaKatya11111
Предмет: Английский язык, автор: Айдар11111116
Предмет: Английский язык, автор: Оляласкова
Предмет: Алгебра, автор: the76
Предмет: Математика, автор: sasha4763