Предмет: Алгебра,
автор: alexey21092010
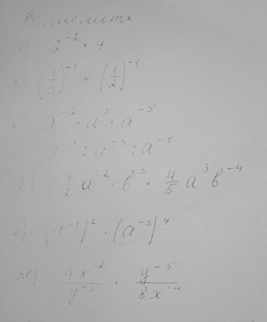
алгебра 8 класс помогите пожалуйста все примеры которые на фото (если что одно фото я сфоткал 2 раза если вам плохо видно я могу переделать фотку на другую просто тут нельзя 2 фото отправлять помоему )
Приложения:
Аноним:
тут ниче не понятно лол
я би помогла
Ответы
Автор ответа:
0
Ответ:
ответ объяснения на фотографии
Объяснение:
перепроверь на правильность написания примеров, степени, числа, как различил - так и написал. Если число "замалевано" - значит ошибся, перечеркнуто одной чертой косой - сократилось. Надеюсь, я тебе помог, и если так - оцени как лучший ответ, и удачи)
Приложения:
Похожие вопросы
Предмет: Другие предметы,
автор: zhasmin20
Предмет: Русский язык,
автор: kirik54
Предмет: Русский язык,
автор: danzinenko
Предмет: Математика,
автор: PolMorfy999
Предмет: Алгебра,
автор: halholms