Предмет: Математика,
автор: aleksandrhabibullin
помогите, всех обманшиков кидаю в бан!
Приложения:
Ответы
Автор ответа:
0
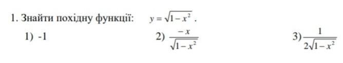
правильный второй вариант так как это сложная функция
Похожие вопросы
Предмет: Русский язык,
автор: MilashkaYuliashka
Предмет: Английский язык,
автор: Аноним
Предмет: Русский язык,
автор: НАДЮШКА2016
Предмет: Русский язык,
автор: dmitriy1988semechko
Предмет: Алгебра,
автор: jrka