Предмет: Алгебра,
автор: korlys
решите пж с 3 по 8 срочно
Приложения:
Stardewpeople2:
у=х-5 это разве не любое?
20=25-5
33=38-5
...
В чём суть задания 3?
и я отом...
*о том
Ответы
Автор ответа:
0
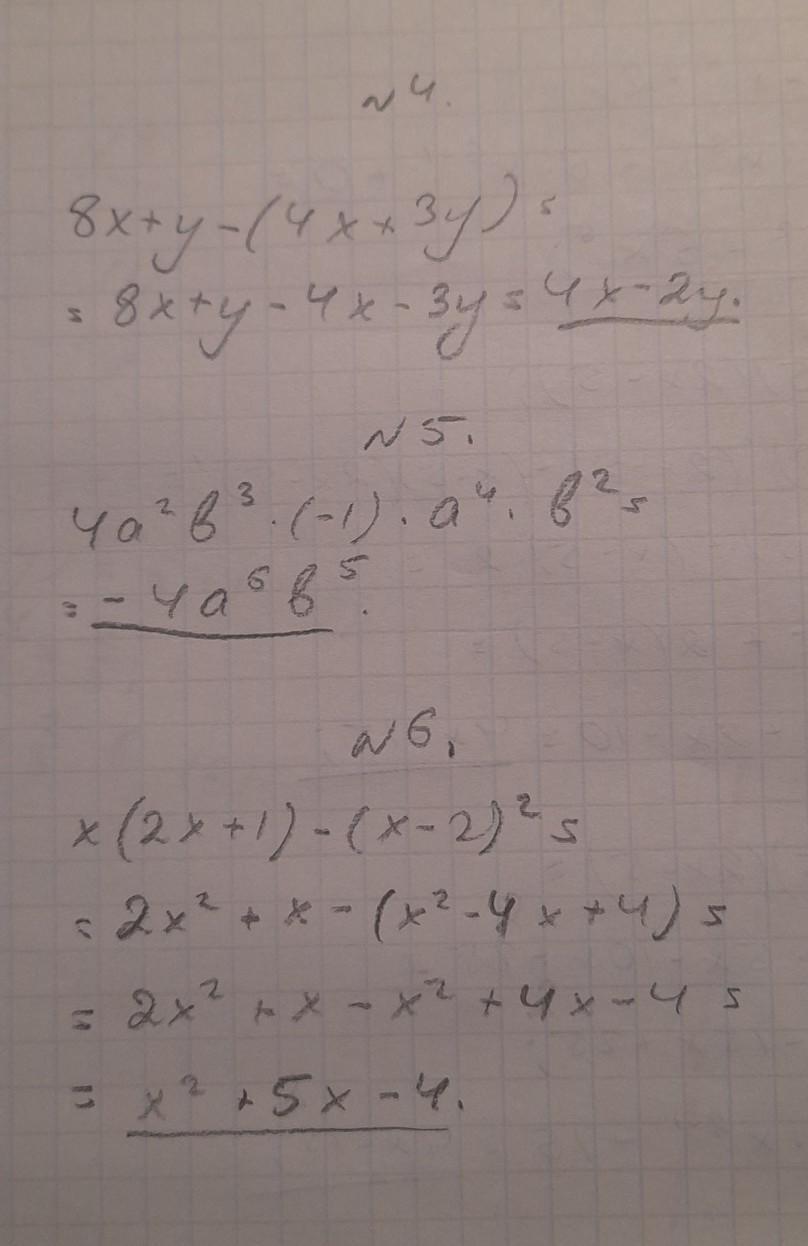
Решение представлено на прикрепленных изображениях
Приложения:
Похожие вопросы
Предмет: Английский язык,
автор: ASUL72
Предмет: Английский язык,
автор: эд12
Предмет: Русский язык,
автор: anna85anastasiya06
Предмет: Геометрия,
автор: Аноним
Предмет: Математика,
автор: ariecna