Предмет: Алгебра,
автор: Аноним

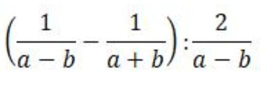
помогите срочно 11 балов даю
Приложения:
Ответы
Автор ответа:
0
Ответ:69
Объяснение: 30 + 39 = 69
Похожие вопросы
Предмет: Русский язык,
автор: Аноним
Предмет: Русский язык,
автор: max1231111333344
Предмет: Русский язык,
автор: Liza27032006
Предмет: Математика,
автор: kolesyaa
Предмет: Математика,
автор: Aйнура