Предмет: Алгебра,
автор: verteyka228
ОЧЕНЬ СРОЧНО
Розв'язати рівняння
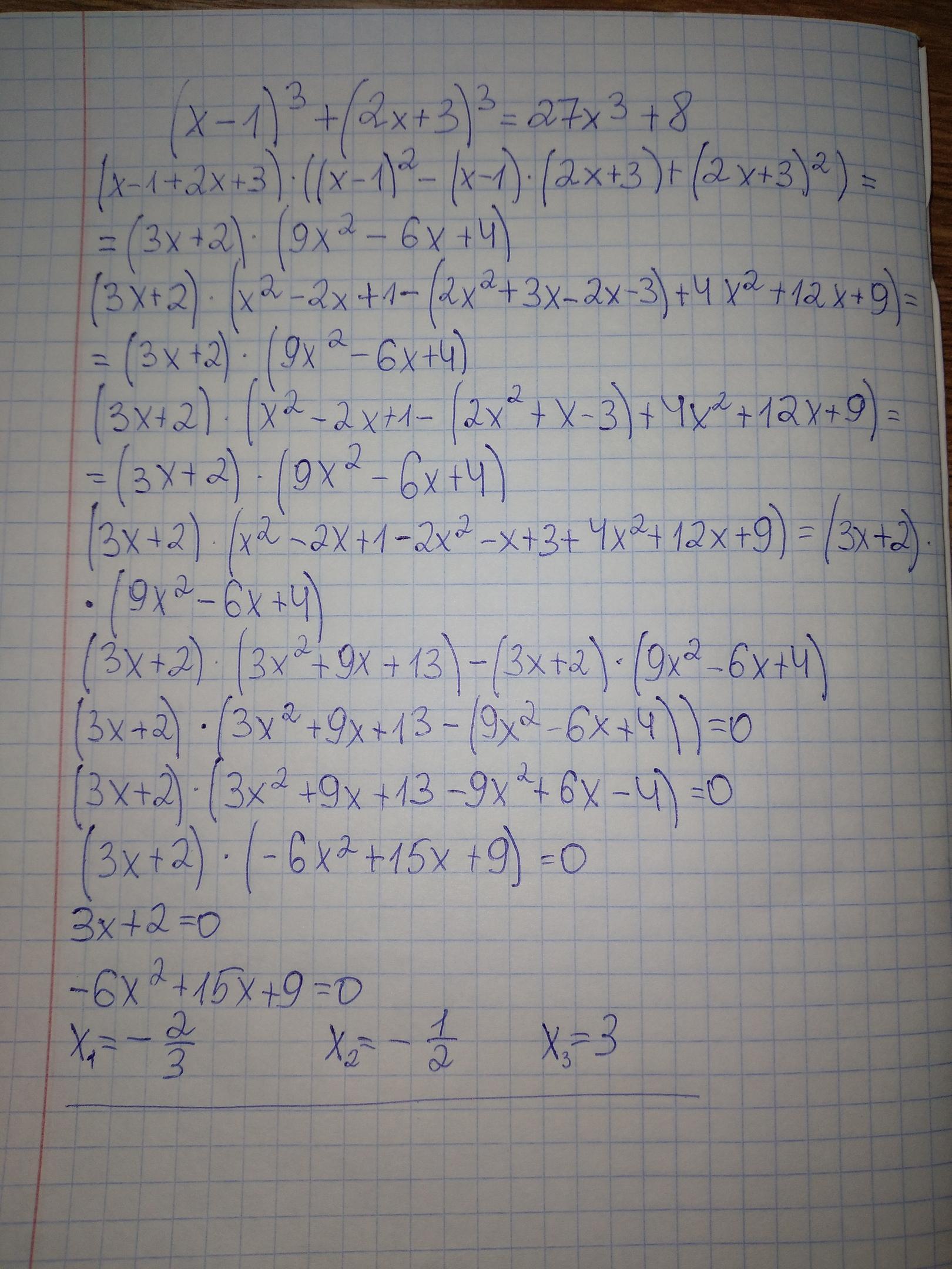
(x - 1)³ + (2x+3)³ = 27x³ + 8
Головне розв'язок напишіть)
Напишіть як біль ясніше будь ласка
Ответы
Автор ответа:
1
решение смотри на фото, если что-то непонятно спрашивай
Приложения:
verteyka228:
Ох как много
можно сократить
Похожие вопросы
Предмет: Русский язык,
автор: anjelina2
Предмет: Қазақ тiлi,
автор: faridealieva
Предмет: Русский язык,
автор: korolewanatasha
Предмет: Биология,
автор: nataallatal
Предмет: Математика,
автор: name493