Предмет: Алгебра,
автор: areyakiddingme
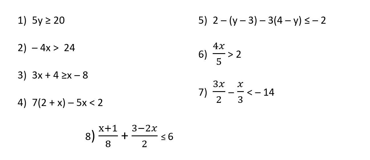
Помогите решить неравенства.
Приложения:
Ответы
Автор ответа:
1
Решение на фото))…….
Приложения:
Похожие вопросы
Предмет: Английский язык,
автор: OxoTИK
Предмет: Қазақ тiлi,
автор: Messi1983
Предмет: Русский язык,
автор: fhjhcom60
Предмет: Химия,
автор: 12345678908688
Предмет: Английский язык,
автор: dilnazzhusupova1510