Предмет: Алгебра,
автор: StalkerFan
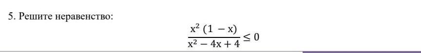
Решить неравенство..
Приложения:
Ответы
Автор ответа:
1
Ответ:
[1;2) U (2;+∞) U {0}
Приложения:
StalkerFan:
Пасиба
:)
Похожие вопросы
Предмет: Немецкий язык,
автор: myamwaymy
Предмет: Русский язык,
автор: ответьD
Предмет: Русский язык,
автор: shahinmansurov1
Предмет: Химия,
автор: Jehervs
Предмет: Математика,
автор: faimadjabarova1990