Предмет: Алгебра, автор: pepsixpabg

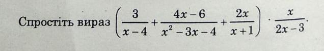
х - Спростіть вираз 3 4х – 6 2х + + x- 4 x² – 3x - 4 ) х+1 - 2x – 3​

Приложения:

Ответы

Автор ответа: malfoyyy08
0

Ответ:

x/x-4

Объяснение:

Похожие вопросы
Предмет: Окружающий мир, автор: ната699
Предмет: Русский язык, автор: Алинэ51
1.В каком слове правописание суффикса определяется правилом: "Два Н пишется в прилагательных, образованных с помощью суффикса -Н- от существительных с основой на -Н-"?
1)нечаянный
2)лекционный
3)казённый
4)кабаний
2.В каком слове правописание суффикса определяется правилом: "В кратком страдательном причастии прошедшего времени пишется Н"?
1)видно
2)украшены
3)спокойно
4)интересны
3.В каком слове правописание суффикса определяется правилом: "В полном страдательном причастии прошедшего времени пишется НН"?
1)безжизненной
2)туманный
3)естественный
4)построенный
4.В каком слове правописание суффикса определяется правилом: "В кратком прилагательном пишется столько -Н-, сколько и в полной форме этого прилагательного"?
1)торжественна
2)запущенные
3)пронумерованные
4)именно
5.В каком слове правописание суффикса определяется правилом: "Два Н пишется в прилагательном, образованном от существительного с помощью суффикса -ЕНН-"?
1)жизненный
2)сокращённый
3)израненный
4)отмороженный