Предмет: Математика,
автор: rkia978
Помогите, пожалуйста)
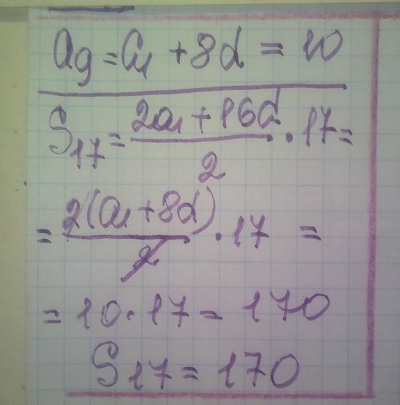
По данным арифметической прогрессии найдите требуемое.
Приложения:
Ответы
Автор ответа:
1
Ответ:
решение смотри на фотографии
Приложения:
Похожие вопросы
Предмет: Русский язык,
автор: Аноним
Предмет: Окружающий мир,
автор: Наталия17082006
Предмет: Немецкий язык,
автор: ottvanyusha
Предмет: Математика,
автор: Аноним