Предмет: Математика,
автор: mariiazelin5274
Будь ласка допоможіть вирішити задачі Алгебра і Геометрія 9 клас. Пожайлуста помагите решить задачи Алгебра и Геометрия 9 класс. Переклад укр і русс.
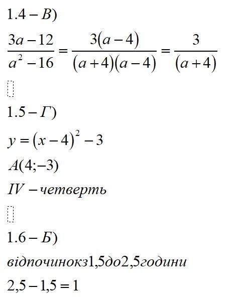
1.4 Сократите дробь...
1.5 У какой координатной четверти находится вершина параболы...
1.6 На рисунке изображен график движения тура, где с кM - турист за 7 час. Сколько времени длился отдых туриста?
Все задачи на рисунке.
Приложения:
Ответы
Автор ответа:
2
Ответ:
у вкладенні
Пошаговое объяснение:
Приложения:
rkia978:
извините, если у вас есть время, не могли бы вы мне помочь с одним вопросом?
Похожие вопросы
Предмет: Русский язык,
автор: lolagrigoreva
Предмет: Окружающий мир,
автор: LENA50505
Предмет: Окружающий мир,
автор: caa84
Предмет: Русский язык,
автор: deniskharlamov1987
Предмет: Другие предметы,
автор: Аноним