Предмет: Алгебра,
автор: GRIZZLY12421
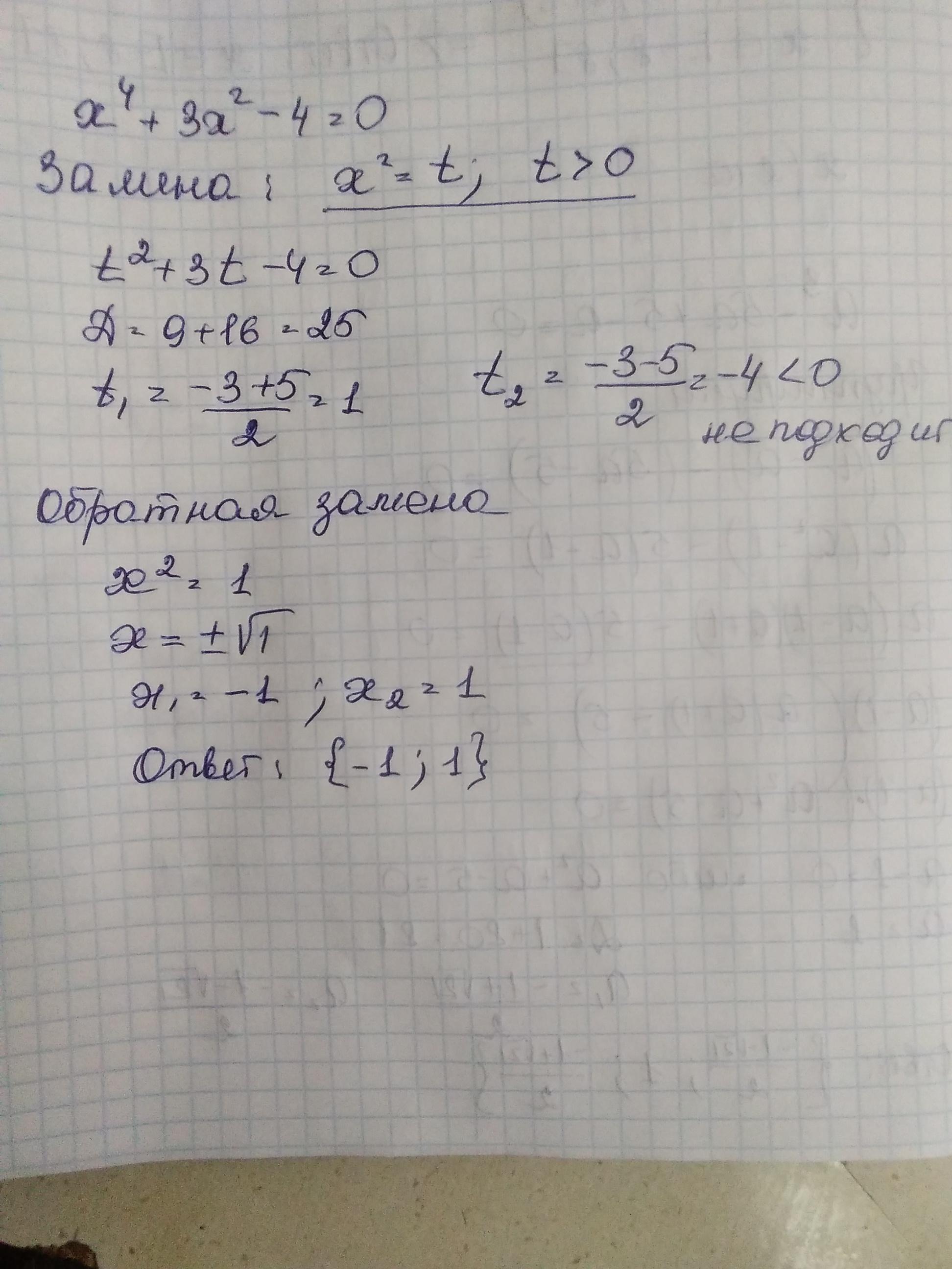
Решить биквадратное уравнение x^4+3x^2-4=0
Ответы
Автор ответа:
1
Смотри . .. .. .. . . ... . ....
Приложения:
Похожие вопросы
Предмет: Русский язык,
автор: ghjmazanar9eginy
Предмет: Русский язык,
автор: FaridGO
Предмет: Русский язык,
автор: RusskaNasty
Предмет: История,
автор: shkola392
Предмет: Другие предметы,
автор: Linalya101