Предмет: Алгебра,
автор: дрейк2
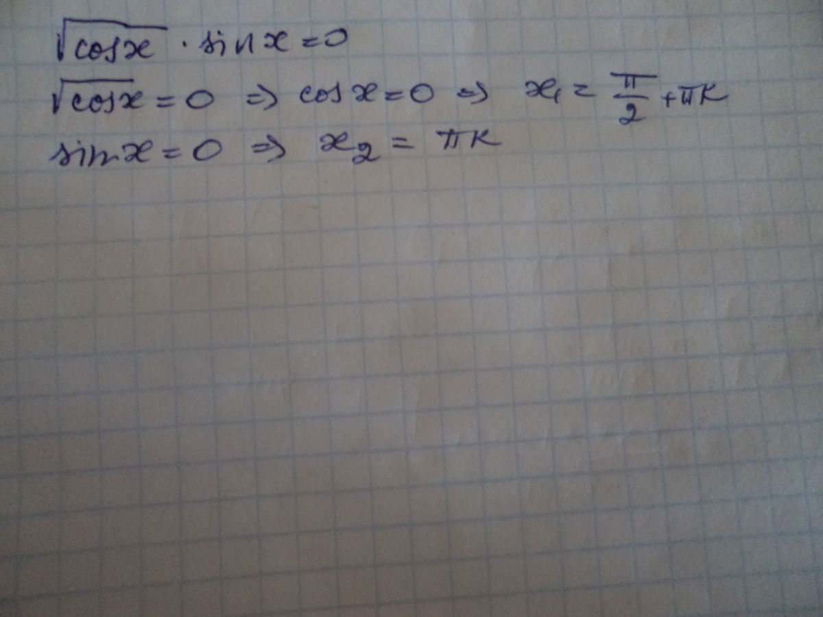
(корень из cosx)*sinx=0
Ответы
Автор ответа:
5
решениееееееееееееееееееееееееее
Приложения:
дрейк2:
ох,спасибо :зз
Автор ответа:
2
"""""""""""""""""""""""""
Приложения:
Похожие вопросы
Предмет: Другие предметы,
автор: gtago1996
Предмет: Другие предметы,
автор: 245лера
Предмет: Русский язык,
автор: Аноним
Предмет: Математика,
автор: 555ника555
Предмет: Биология,
автор: Аноним