Предмет: Математика,
автор: Esrr
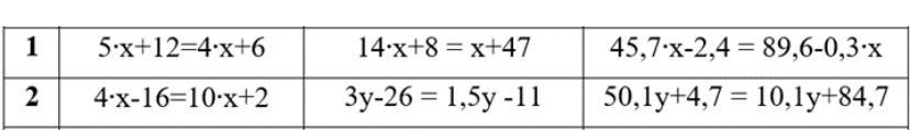
Решите уравнения. Срочно нужно
Приложения:
Ответы
Автор ответа:
1
Ответ:
Первый рядок-х= -6, х= 3, х=2
Второй рядок-х= -3, y= 10, y= 2
Автор ответа:
1
пошаговое объяснение решения уравнений:
Приложения:
Похожие вопросы
Предмет: Русский язык,
автор: proffilact
Предмет: Українська мова,
автор: nastya12920
Предмет: Английский язык,
автор: марсель161
Предмет: Физика,
автор: facemolodoyface
Предмет: География,
автор: mrdimca2003