Предмет: Алгебра,
автор: Fkauss
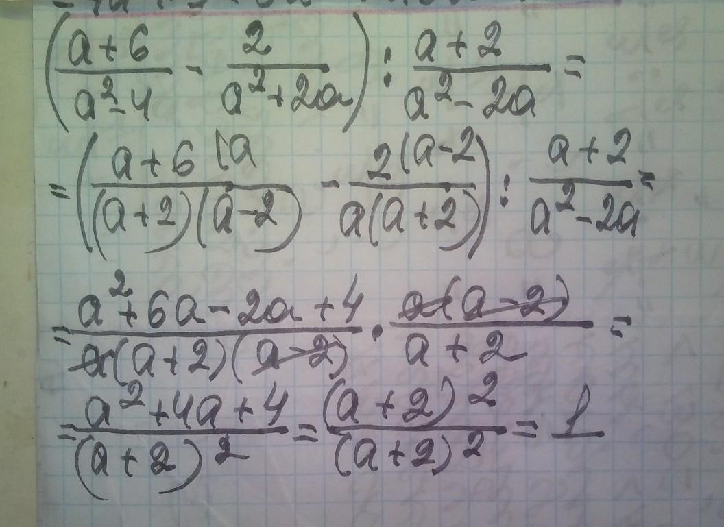
ДАЮ 25 БАЛЛОВ упростите выражение (a+6/a^2-4 - 2/a^2+2a) : a+2/a^2-2a
Ответы
Автор ответа:
0
Ответ:
решение смотри на фотографии
Приложения:
Похожие вопросы
Предмет: Английский язык,
автор: DianaMIR13
Предмет: Русский язык,
автор: MYLITTLEPOHY
Предмет: Русский язык,
автор: POPLOLMEM1
Предмет: Геометрия,
автор: GagikSar
Предмет: Математика,
автор: nurali2006