Предмет: Алгебра,
автор: anyasribnyak
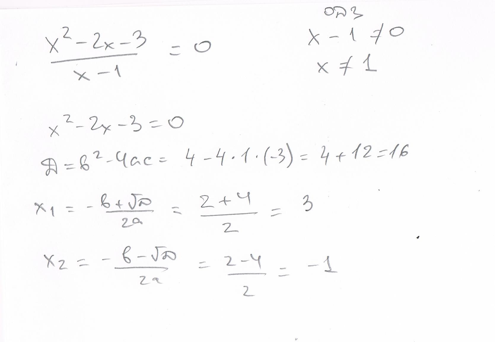
Розв'яжіть рівняння: х^2-2х-3/х-1=0
Ответы
Автор ответа:
2
Ответ:
x1= -1
x2 = 3
Объяснение:
Приложения:
Похожие вопросы
Предмет: Қазақ тiлi,
автор: ГлупыйЯЧтоДелать
Предмет: Русский язык,
автор: arenmari88
Предмет: Русский язык,
автор: pavaim
Предмет: Геометрия,
автор: miss1502