Предмет: Математика,
автор: kataevmakar1234
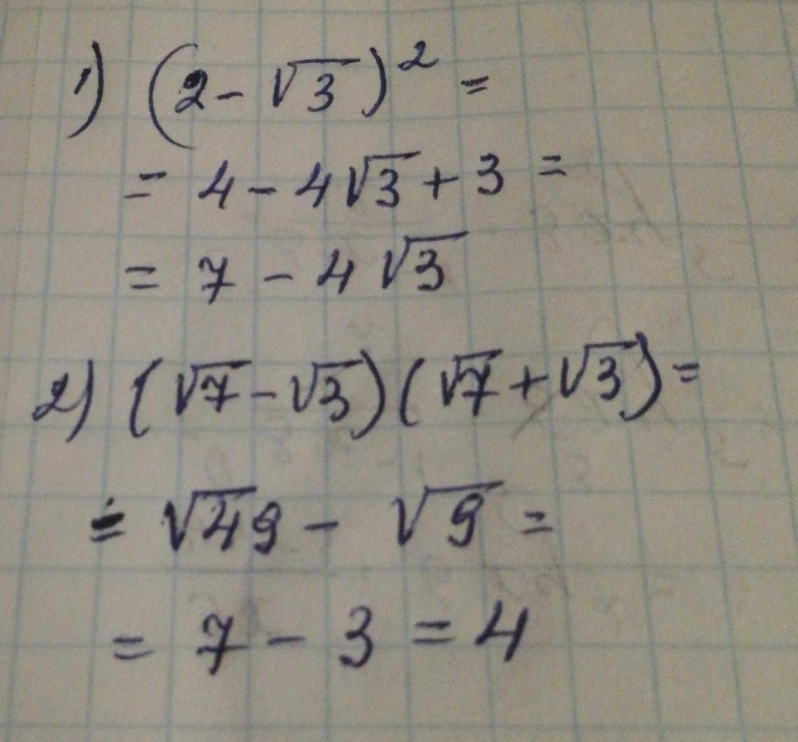
Упростить выражение
(2 - корень из 3) все это в квадрате
(корень из 7 - корень из 3)*(корень из 7 + корень из 3)
Ответы
Автор ответа:
1
Ответ:
Смотри решение на фото.
Приложения:
Похожие вопросы
Предмет: Русский язык,
автор: Аноним
Предмет: Русский язык,
автор: марьямик31
Предмет: Английский язык,
автор: ПЕРВЫЙ228
Предмет: Математика,
автор: annadovgan80
Предмет: ОБЖ,
автор: BETEPMOMO