Предмет: Алгебра,
автор: omasempai
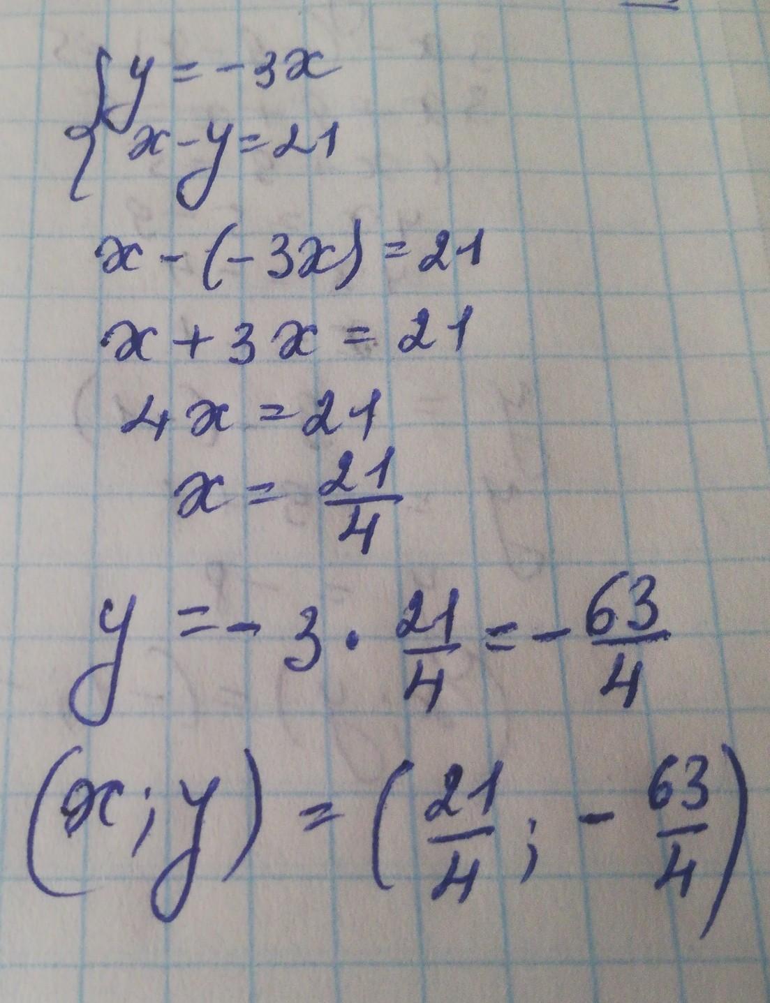
Розв'яжи систему рівнянь методом підстановки:
{y=−3x
x−y=21
( ; )
Ответы
Автор ответа:
1
Ответ:
Смотри решение на фото...
Приложения:
Похожие вопросы
Предмет: Русский язык,
автор: faridabbasov0
Предмет: Другие предметы,
автор: Dessik
Предмет: Русский язык,
автор: 147zaq
Предмет: Математика,
автор: dahal2436
Предмет: История,
автор: sasha221194