Предмет: Алгебра,
автор: alutceva
Помогите пожалуйста!!!
Приложения:
Ответы
Автор ответа:
0
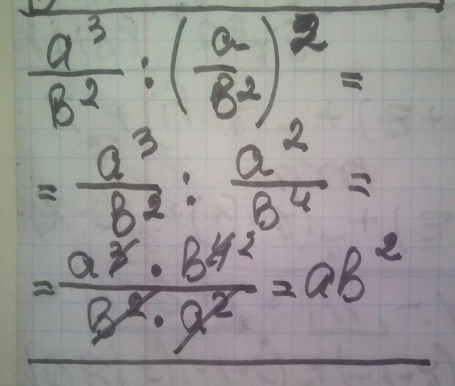
Ответ:
решение смотри на фотографии
Приложения:
Автор ответа:
0
Ответ:
ab2
Объяснение:
сначала раскрываем скобки, потом переворачиваем дробь и сокращаем
Похожие вопросы
Предмет: Другие предметы,
автор: Аноним
Предмет: Английский язык,
автор: Аноним
Предмет: Русский язык,
автор: Satana161
Предмет: Другие предметы,
автор: Аноним
Предмет: Русский язык,
автор: diana44465