Предмет: Математика,
автор: kirushagallardo
Решите пожалуйста срочно
1) 2 целых 2/3 * 3 целых 3/5 = ?
2) 6 целых 2/5 * 1 целую 1/4 = ?
3) 4/9 * 0,5 = ?
4) 17/33 * 0,11 = ?
5) 1 целая 3/12 * 1,12 = ?
6) 4 целых 1/8 : 5 целых 4/9 = ?
7) 19/45 : 19 = ?
8) 7 целых 3/11 : 80/90
Ответы
Автор ответа:
0
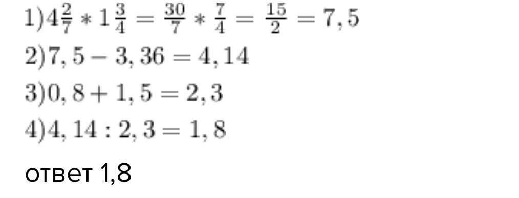
Ответ:
Пошаговое объяснение:
Приложения:
Похожие вопросы
Предмет: Окружающий мир,
автор: патя107
Предмет: Английский язык,
автор: Ахцах111
Предмет: Окружающий мир,
автор: шоколадка3D4а
Предмет: Информатика,
автор: ayzik86f
Предмет: Русский язык,
автор: ermakovasmagina