Предмет: Физика,
автор: tisha1364
помогите пожалуйста:(
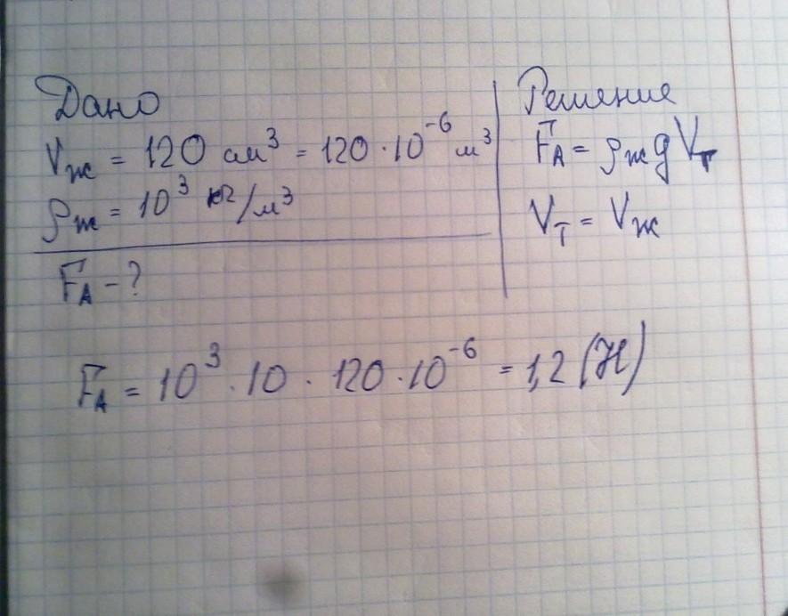
1. Тело , погружаясь в воду , вытесняет 120м3 жидкости. Чему равна архимедова сила , действующая на это тело?
2. Ребро куба , погруженного в масло , равно 2 см . Вычислите действующую на куб архимедову силу.
Ответы
Автор ответа:
0
1.
Дано:
L(ребро куба)= 2 см = 0, 02м.
g(ускорение свободного падения) = 10м/с^2
p(плотность воды) = 1000 кг/ м^3
Решение:
F = p * g * V
гдеV - объем куба
V = L^3
1) V = 0,02 ^ 3 = 0, 000008 м^3
2) F = 1000 * 10 * 0,000008 = 0,08 Н
Приложения:
Похожие вопросы
Предмет: Английский язык,
автор: d4756526745236486687
Предмет: Русский язык,
автор: привет728
Предмет: Русский язык,
автор: suhanovegorka
Предмет: Українська література,
автор: y6484778
Предмет: Математика,
автор: dashashalaeva