Предмет: Математика,
автор: Aska55
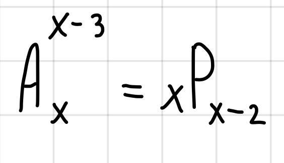
Необходимо решить уравнение
Приложения:
Ответы
Автор ответа:
0
У этого уравнения нет решения, везде искала , даже в калькуляторе показывает ошибку
Автор ответа:
0
Ответ:
я хз якщо чесно ..........................
Похожие вопросы
Предмет: Русский язык,
автор: nika18gjujhtkfz32456
Предмет: Русский язык,
автор: san4ez76
Предмет: Русский язык,
автор: знаток126
Предмет: Русский язык,
автор: sulpak060316
Предмет: Русский язык,
автор: galaxsitop777