Предмет: Математика,
автор: Dendi103
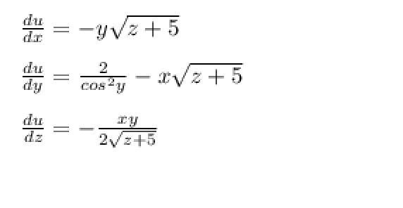
30 балов срочно!dedulja66let помоги! Найти частные производные 1-го порядка для функции u=2tg y-xy
Ответы
Автор ответа:
0
Ответ:
Пошаговое объяснение:
Приложения:
Похожие вопросы
Предмет: Русский язык,
автор: fatima20072
Предмет: Українська мова,
автор: polyshka03
Предмет: Английский язык,
автор: ydanik
Предмет: Музыка,
автор: SophiaRV
Предмет: Математика,
автор: aijana207