Предмет: Математика,
автор: dragon483rei
Помогите, пожалуйста, люди хорошие даю 25 баллов!!!
Приложения:
Ответы
Автор ответа:
0
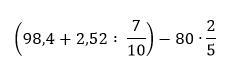
Ответ : (98,4+2,52:7/10)-80*2/5=70
dragon483rei:
По действиям надо
Автор ответа:
0
ответ 70
посмотри и скачай фотомач
посмотри и скачай фотомач
Приложения:
Похожие вопросы
Предмет: Русский язык,
автор: Vika0Weili
Предмет: Русский язык,
автор: 10999737294757940298
Предмет: Қазақ тiлi,
автор: kurgannadezhda
Предмет: Математика,
автор: RublevT
Предмет: Английский язык,
автор: gggusten