Предмет: Алгебра,
автор: tw1styy31
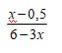
1.Найдите допустимые значения переменной в выражении
ДАМ 15БАЛЛОВ ПЖ ДАЙТЕ
Приложения:
Ответы
Автор ответа:
1
Ответ:
Объяснение:
!!!!!!!!!!!!!!!!!!!!!!
Приложения:
tw1styy31:
Привет спасибо за твой ответ можешь помочь с СОР-ом?
Похожие вопросы
Предмет: Русский язык,
автор: Lelja19
Предмет: Українська мова,
автор: lera211002
Предмет: Русский язык,
автор: анна1395
Предмет: Математика,
автор: Аноним
Предмет: Другие предметы,
автор: natali1984z