Предмет: Алгебра,
автор: terekhinaaleks
No2
Решите уравнение
3x – 10+4x² = 0.
Если корней несколько, запишите их в ответ без пробелов в порядке возрастания.
Ответы
Автор ответа:
1
Объяснение:
Пожалуйста..........................
Приложения:
Автор ответа:
0
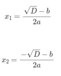
Ответ:
а=4
b=3
c= -10
Начало решения на фото
Приложения:
Похожие вопросы
Предмет: Українська мова,
автор: Tabasenok
Предмет: Английский язык,
автор: Аноним
Предмет: Русский язык,
автор: 2008ANGELINA
Предмет: Русский язык,
автор: faxe