Предмет: Химия,
автор: laalan467
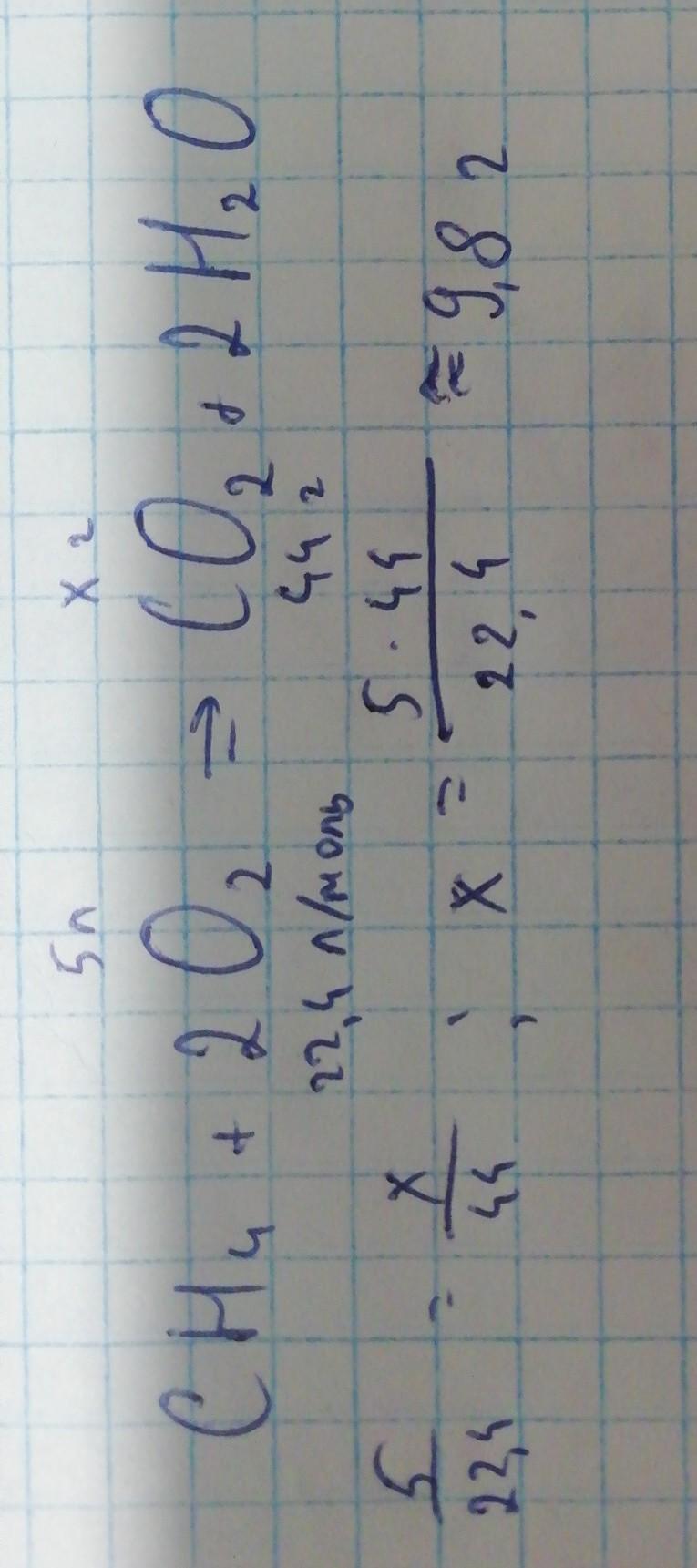
При спалюванні метану використали 5 літрів кисню. Знайти масу (г) вуглекислого газу, який при цьому утворився/CРОЧНО РОЗВ1яЗІТЬ ЗАДАЧУ
Ответы
Автор ответа:
2
Ответ:
Ответ на фото.........
Приложения:
Похожие вопросы
Предмет: Русский язык,
автор: клик81
Предмет: Русский язык,
автор: dodysheva99
Предмет: Окружающий мир,
автор: AlexKeron
Предмет: Математика,
автор: 07070038
Предмет: Математика,
автор: madina2592