Предмет: Математика,
автор: vstipanov169
help me please.Дам 25 баллов
Приложения:
Ответы
Автор ответа:
4
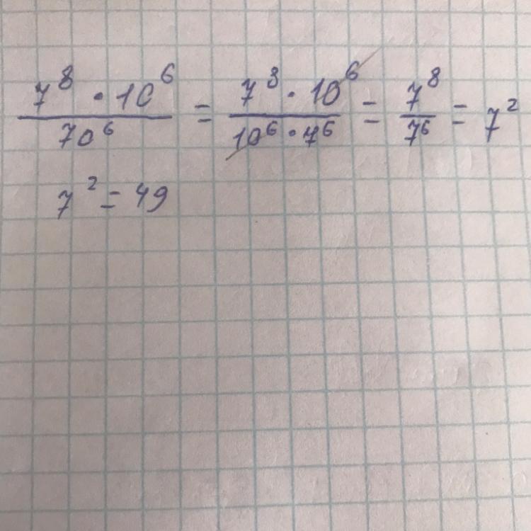
Решение на фото.Если что-то непонятно,напиши в комментариях)
Приложения:
Похожие вопросы
Предмет: Другие предметы,
автор: Серго11111111111
Предмет: Английский язык,
автор: ккыву
Предмет: Английский язык,
автор: Дмитрий170312
Предмет: История,
автор: alisa10potter
Предмет: Английский язык,
автор: Аноним