Предмет: Алгебра,
автор: vlad1736
помогите пожалуйста, заболел а ДЗ делать надо жилательно до 21 00 прислать ответы дам 30 балов
Приложения:
Ответы
Автор ответа:
0
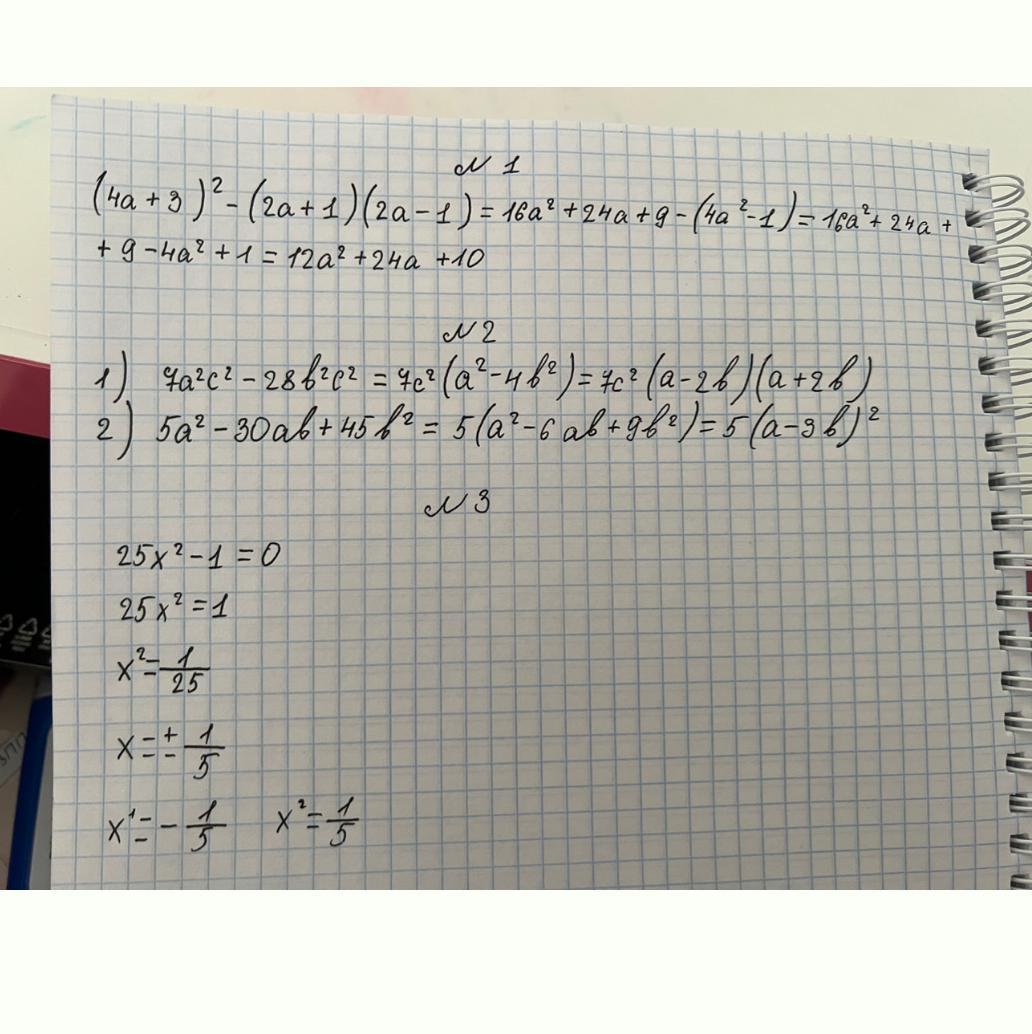
На фото с первого номера по третий.
Номер 5
1) AD=BC
2) угол BAD=угол ABC (по условию)
3) Сторона AB общая
4) Треугольники равны по первому признакому
следовательно, угол ACB равен углу BDA
Увы другие не смогла.
Надеюсь помогла)
Желаю удачи
Номер 5
1) AD=BC
2) угол BAD=угол ABC (по условию)
3) Сторона AB общая
4) Треугольники равны по первому признакому
следовательно, угол ACB равен углу BDA
Увы другие не смогла.
Надеюсь помогла)
Желаю удачи
Приложения:
vlad1736:
спасибо тебе большое
Похожие вопросы
Предмет: Английский язык,
автор: умник1135
Предмет: Русский язык,
автор: али282820
Предмет: Французский язык,
автор: kami0806mailru
Предмет: Математика,
автор: Katiadimova3