Предмет: Алгебра,
автор: matlipaeff2017
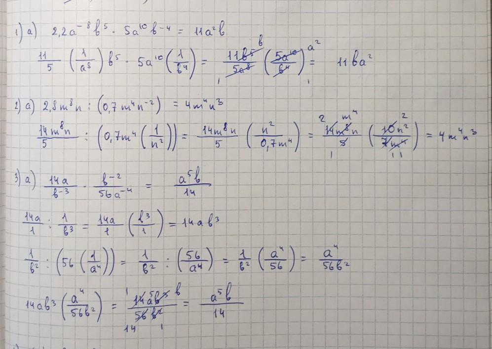
Упростите выражение. Алгебра 8 класс
Приложения:
Ответы
Автор ответа:
0
Ответ:
1) 11а^2b
2) 4m^4n^3
3) a^5b/14
4)216y^2
Объяснение:
на фотоооооооо
Приложения:
Похожие вопросы
Предмет: Русский язык,
автор: лейла248
Предмет: Русский язык,
автор: Аноним
Предмет: Русский язык,
автор: rarudovich
Предмет: Биология,
автор: qwerty41266
Предмет: ОБЖ,
автор: MRDYDOSIK